近日,省教育厅公布了全省第七届大学生艺术展演活动暨全省首届“美的教育”高校师生书画设计作品展评选结果,我我院师生在艺术表演、艺术作品、学生艺术实践工作坊、高校美育改革创新优秀案例等项目中取得优异成绩。
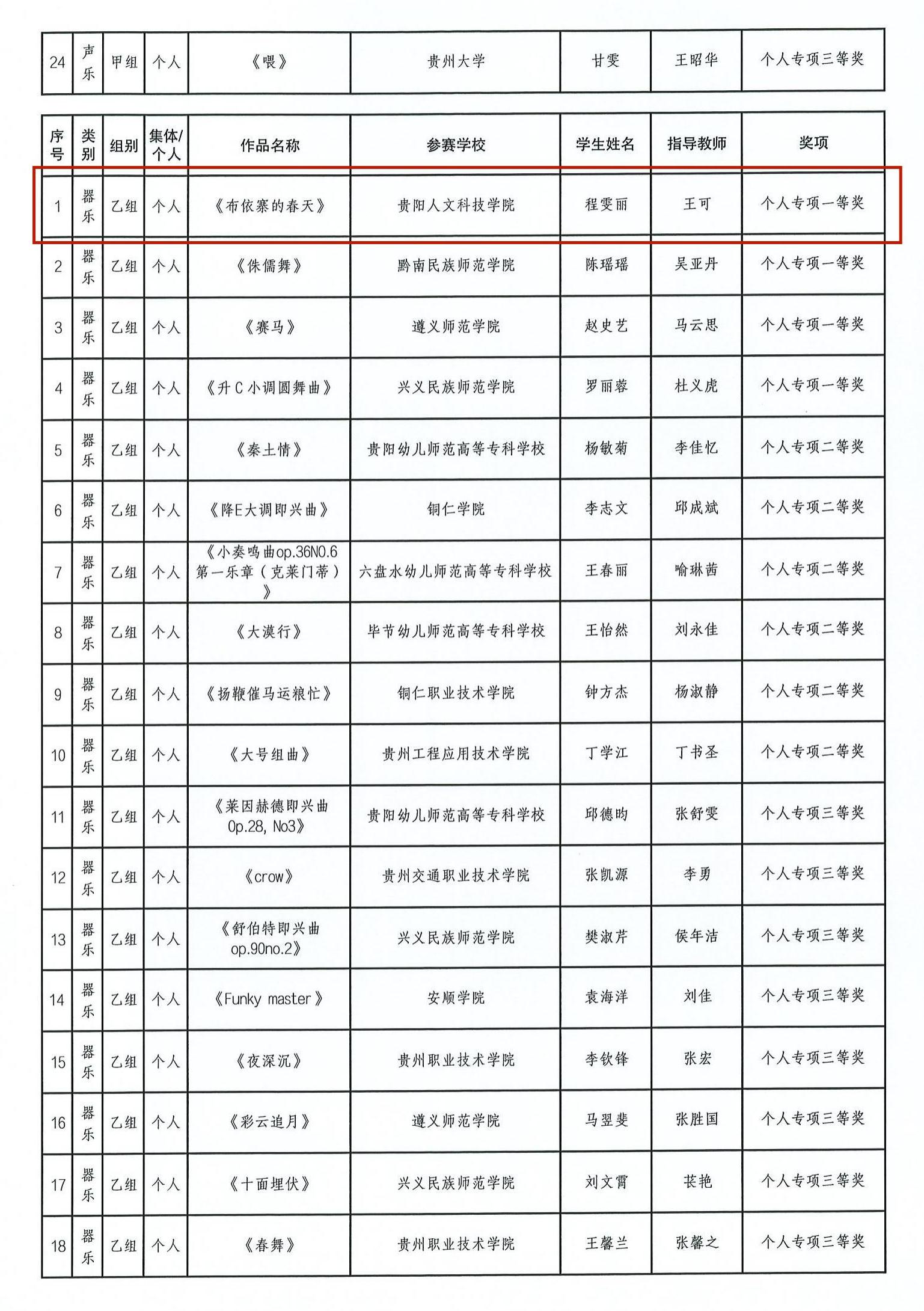
在艺术表演类节目中,由王可老师指导的声乐(甲组·集体)作品《侗家姑娘爱唱歌》荣获二等奖、器乐(乙组·集体)作品《苗寨随想》获得三等奖、器乐(乙组·个人)作品《布依寨的春天》荣获一等奖;由孟红成老师指导的声乐(乙组·个人)作品《与你相见若如初》荣获三等奖。

艺术表演类获奖名单
在艺术作品展演中,新葡萄师生也取得了丰硕成果。刘加坤老师的绘画作品《黔园秋色》获教师风采一等奖。由王刚老师指导的学生乙组绘画作品《竟·象NO:9》获三等奖;由唐黎老师指导的学生乙组设计作品《食物链》获二等奖、《朝气青春·活力新葡萄》获三等奖。




艺术作品展演获奖名单
在高校美育改革创新优秀案例项目中,体育与艺术学院王可老师的《以美育人,润物无声》荣获三等奖。

高校美育改革创新优秀案例获奖名单